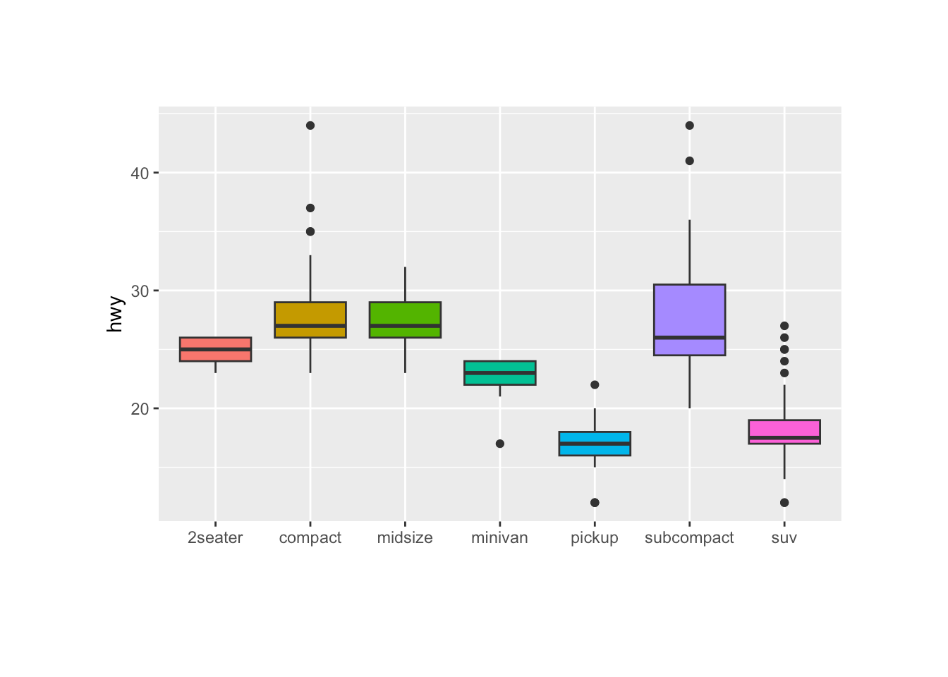
Color Ggplot Boxplot . The base r function to calculate the box plot limits is boxplot.stats. Set a different color for each group ggplot (mpg, aes (x= class, y= hwy, fill= class)) + geom_boxplot (alpha= 0.3) + theme.
ggplot2 Graphics Manual from girke.bioinformatics.ucr.edu
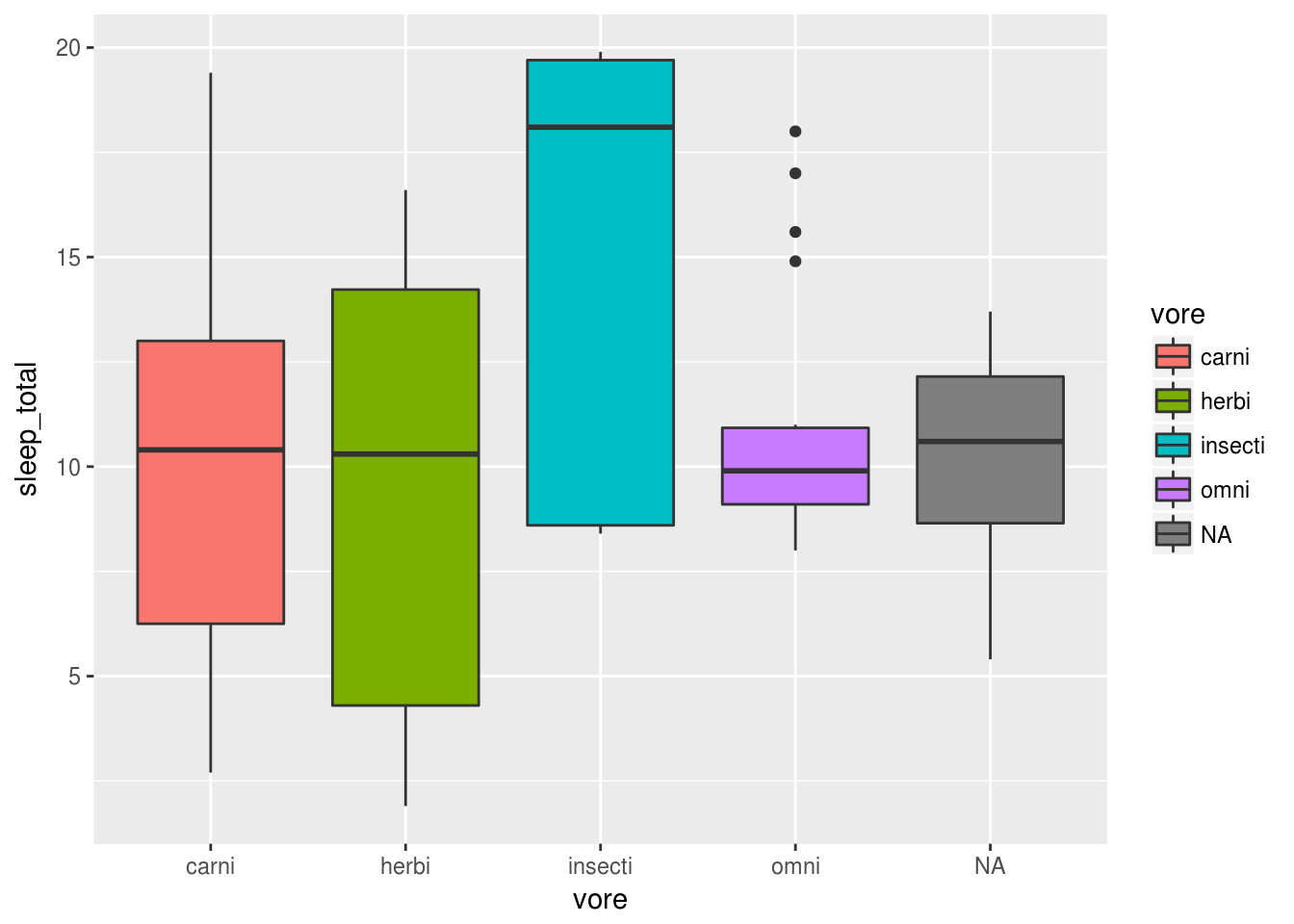
For exemple, positive and negative controls are likely to be in different colors. We give a positive response this kind of ggplot2 boxplot color graphic could possibly be the most trending topic subsequent to we portion it in google improvement or facebook. A boxplot summarizes the distribution of a numeric variable for one or several groups.
ggplot2 Graphics Manual
With themes you can easily customize some commonly used properties, like background color, panel background color and grid lines. With themes you can easily customize some commonly used properties, like background color, panel background color and grid lines. In the below example, the dark2 color palette is used. Here we will see an example of highlighting specific data points in a plot.
Source: stackoverflow.com
Check Details
Use # outlier.colour to override p + geom_boxplot( outlier.colour = red, outlier.shape = 1) # remove outliers when overlaying boxplot with original data points p + geom_boxplot( outlier.shape = na) + geom_jitter ( width = 0.2) In the below example, the dark2 color palette is used. It can be usefull to add colors to specific groups to highlight them. Use.
Source: rviews.rstudio.com
Check Details
Set a different color for each group ggplot (mpg, aes (x= class, y= hwy, fill= class)) + geom_boxplot (alpha= 0.3) + theme. Geom_boxplot( mapping = null, data = null, stat = “identity”, position = “identity”,., outlier.colour = null, outlier.color = null, outlier.fill = null, outlier.shape = 19, outlier.size = 1.5, notch = false,na.rm = false, show.legend = false, inherit.aes =.
Source: girke.bioinformatics.ucr.edu
Check Details
The ggplot2 boxplot can also be covered with scale_fill_brewer() by passing the brewer color palettes. P + geom_boxplot( fill = white, colour = #3366ff) # by default, outlier points match the colour of the box. 2) for filling similarly, we can fill the box plot. In the below example, the dark2 color palette is used. Change box plot fill colors.
Source: statisticsglobe.com
Check Details
Set a different color for each group ggplot (mpg, aes (x= class, y= hwy, fill= class)) + geom_boxplot (alpha= 0.3) + theme. With themes you can easily customize some commonly used properties, like background color, panel background color and grid lines. The power of ggplot2 lies in making it easy to make great plots and in easily tweaking it to.
Source: stackoverflow.com
Check Details
The ggplot2 package provides some premade themes to change the overall plot appearance. The base r function to calculate the box plot limits is boxplot.stats. In this example, we draw a line on each side of the boxes using notch argument # add boxplot to r ggplot jitter # importing the ggplot2 library library(ggplot2) # creating basic jitter ggplot(chickweight, aes(x.
Source: jstaf.github.io
Check Details
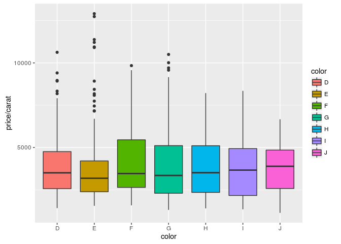
In the below example, the dark2 color palette is used. The ggplot2 box plots follow standard tukey representations, and there are many references of this online and in standard statistical text books. # add color to ggplot boxplot # importing the ggplot2 library library (ggplot2) # create a boxplot ggplot (diamonds, aes (x = cut, y = price)) + geom_boxplot.
Source: statisticsglobe.com
Check Details
The power of ggplot2 lies in making it easy to make great plots and in easily tweaking it to the one wants. The ggplot2 boxplot can also be covered with scale_fill_brewer() by passing the brewer color palettes. In the below example, the dark2 color palette is used. # change the ggplot theme to ‘minimal’ ggplot (toothgrowth, aes (x=factor (dose), y=len,.
Source: www.r-graph-gallery.com
Check Details
Here we will see an example of highlighting specific data points in a plot. # library library (ggplot2) # the mtcars dataset is natively available in r #head(mpg) # top left: Geom_boxplot(outlier.colour = black) # assign custom color ch+scale_color_manual(values=c(#999999, purple, #33ffff, red, green, brown)) # assign brewer color ch+scale_color_brewer(palette=dark2) # assign gray scale ch+scale_color_grey() + theme_classic() output: Geom_boxplot( mapping =.
Source: www.r-graph-gallery.com
Check Details
In the below example, the dark2 color palette is used. In the r code below, box plot fill colors are automatically controlled by the levels of dose: # change the ggplot theme to ‘minimal’ ggplot (toothgrowth, aes (x=factor (dose), y=len, fill=factor (dose. A boxplot summarizes the distribution of a numeric variable for one or several groups. With fill, the tiny.
Source: stackoverflow.com
Check Details
# add color to ggplot boxplot # importing the ggplot2 library library (ggplot2) # create a boxplot ggplot (diamonds, aes (x = cut, y = price)) + geom_boxplot (fill = midnightblue) change colors of a ggplot2 boxplot in r example 2 in this example, we change the r ggplot boxplot box colors using column data. We give a positive response.
Source: cmdlinetips.com
Check Details
For exemple, positive and negative controls are likely to be in different colors. A boxplot summarizes the distribution of a numeric variable for one or several groups. 1 it depends on what you're looking for. It can be usefull to add colors to specific groups to highlight them. Set a unique color with fill, colour, and alpha ggplot (mpg, aes.
Source: www.r-bloggers.com
Check Details
In ggplot2, geom_boxplot() is used to create a boxplot. Geom_boxplot(outlier.colour = black) # assign custom color ch+scale_color_manual(values=c(#999999, purple, #33ffff, red, green, brown)) # assign brewer color ch+scale_color_brewer(palette=dark2) # assign gray scale ch+scale_color_grey() + theme_classic() output: Ggplot2 also makes a legend for colors and variable used in the plot. Here are a number of highest rated ggplot2 boxplot color pictures on.
Source: stackoverflow.com
Check Details
It can be usefull to add colors to specific groups to highlight them. Ggplot2 has two functions available for using color palettes in ggplot2, one is scale_fill_brewer () and scale_color_brewer (). Add boxplot to r ggplot2 jitter 2. Its submitted by meting out in the best field. Sometimes, one might want to highlight certain data points in a plot in.
Source: statisticsglobe.com
Check Details
In the below example, the dark2 color palette is used. The ggplot2 package provides some premade themes to change the overall plot appearance. # add color to ggplot boxplot # importing the ggplot2 library library (ggplot2) # create a boxplot ggplot (diamonds, aes (x = cut, y = price)) + geom_boxplot (fill = midnightblue) change colors of a ggplot2 boxplot.
Source: statisticsglobe.com
Check Details
The ggplot2 box plots follow standard tukey representations, and there are many references of this online and in standard statistical text books. Here we will see an example of highlighting specific data points in a plot. In ggplot2, geom_boxplot() is used to create a boxplot. Sometimes, one might want to highlight certain data points in a plot in different color..
Source: www.tutorialgateway.org
Check Details
# add color to ggplot boxplot # importing the ggplot2 library library (ggplot2) # create a boxplot ggplot (diamonds, aes (x = cut, y = price)) + geom_boxplot (fill = midnightblue) change colors of a ggplot2 boxplot in r example 2 in this example, we change the r ggplot boxplot box colors using column data. # change the ggplot theme.
Source: www.r-bloggers.com
Check Details
A boxplot summarizes the distribution of a numeric variable for one or several groups. 1 it depends on what you're looking for. The power of ggplot2 lies in making it easy to make great plots and in easily tweaking it to the one wants. In the below example, the dark2 color palette is used. For exemple, positive and negative controls.
Source: stackoverflow.com
Check Details
In the r code below, box plot fill colors are automatically controlled by the levels of dose: Ggplot2 also makes a legend for colors and variable used in the plot. Set a different color for each group ggplot (mpg, aes (x= class, y= hwy, fill= class)) + geom_boxplot (alpha= 0.3) + theme. 2) for filling similarly, we can fill the.
Source: abhishekstats.com
Check Details
Sometimes, one might want to highlight certain data points in a plot in different color. The easiest way is to give a vector ( mycolor here) of colors when you call the boxplot () function. Use # outlier.colour to override p + geom_boxplot( outlier.colour = red, outlier.shape = 1) # remove outliers when overlaying boxplot with original data points p.
Source: stackoverflow.com
Check Details
Here are a number of highest rated ggplot2 boxplot color pictures on internet. P + geom_boxplot( fill = white, colour = #3366ff) # by default, outlier points match the colour of the box. Scale_fill_brewer () function is useful when you want to use color palette from rcolorbrewer and fill boxplots with colors color palette. 2) for filling similarly, we can.